近日,我院声学团队与武汉大学刘正猷教授团队合作,在非厄米拓扑电路领域取得重要成果,相关研究成果以《Non-Hermitian winding and braiding of topological boundary states》为题,发表于物理学领域权威期刊《Physical Review B》。武汉大学博士后浦臻航、我院青年教师吴吉恩和武汉大学博士生陈星宇为共同第一作者,武汉大学邓伟胤教授、柯满竹教授和刘正猷教授为共同通讯作者。永利集团88304官网为共一作者单位。
拓扑边界态作为拓扑物理的标志性特征,长期以来备受关注。传统的体-边对应理论主要描述了体厄米拓扑与边界的关系,而近年来非厄米拓扑的兴起,极大地拓展了拓扑物理的研究范畴,为操控拓扑边界态提供了独特的策略。在非厄米拓扑体系中,复杂的能带缠绕和编织现象能引发诸如非厄米趋肤效应等奇特物理现象,这使得研究非厄米拓扑与厄米拓扑之间的相互作用成为前沿热点。
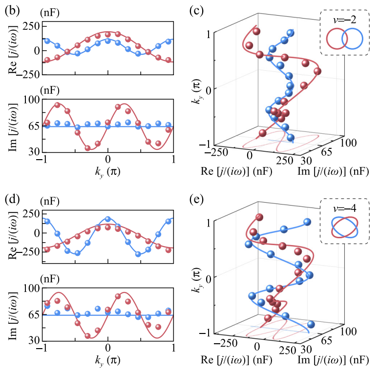
此次研究团队构建了新型二维非厄米电路,该电路模型巧妙结合了Su-Schrieffer-Heeger(SSH)链和Hatano-Nelson模型(图1)。SSH链赋予体系厄米拓扑及边界态,Hatano-Nelson模型则为边界态引入非厄米的缠绕和编织特性。利用电路平台便于引入非厄米性的优势,通过测量电路导纳,成功观测到拓扑边界态的非厄米缠绕和编织现象。非厄米缠绕使得拓扑边界态产生双向趋肤,即杂化双向趋肤效应。能带的编织可以呈现出类似于Hopf link和Solomon link的构型,它们具有不同的编织度ν(图2)。该研究工作将加深了人们对厄米与非厄米拓扑相互作用的理解,同时为操控角态提供了新机制,有望在未来的电路设计、信号处理等领域得到广泛应用。

图1 非厄米电路构建。
图2 非厄米编织测量。
文章链接:https://journals.aps.org/prb/abstract/10.1103/PhysRevB.111.075123